Last updated: 2 ธ.ค. 2564 | 6976 จำนวนผู้เข้าชม |
ประกาศคณะกรรมการกิจการกระจายเสียง กิจการโทรทัศน์ และกิจการโทรคมนาคมแห่งชาติ เรื่อง แผนความถี่วิทยุกิจการกระจายเสียงระบบเอฟเอ็ม
เมื่อวันที่ 29 พฤศจิกายน 2564 เว็บไซต์ ราชกิจจานุเบกษา เผยแพร่ประกาศคณะกรรมการกิจการกระจายเสียง กิจการโทรทัศน์ และกิจการโทรคมนาคมแห่งชาติ เรื่อง แผนความถี่วิทยุกิจการกระจายเสียงระบบเอฟเอ็ม ความว่าโดยที่เป็นการสมควรกำหนดแผนความถี่วิทยุกิจการกระจายเสียงระบบเอฟเอ็ม เพื่อให้มีความเหมาะสมกับความก้าวหน้าของเทคโนโลยีที่เปลี่ยนแปลงไป ป้องกันการรบกวนการใช้คลื่นความถี่ที่อาจจะเกิดขึ้นได้และเกิดการใช้งานคลื่นความถี่อย่างมีประสิทธิภาพ อันจะเป็นประโยชน์ต่อผู้บริโภคและอุตสาหกรรมวิทยุกระจายเสียงในภาพรวม
อาศัยอำนาจตามความในมาตรา ๒๗ (๑) แห่งพระราชบัญญัติองค์กรจัดสรรคลื่นความถี่และกำกับการประกอบกิจการวิทยุกระจายเสียง วิทยุโทรทัศน์ และกิจการโทรคมนาคม พ.ศ. ๒๕๕๓ ซึ่งแก้ไขเพิ่มเติมโดยพระราชบัญญัติองค์กรจัดสรรคลื่นความถี่และกำกับการประกอบกิจการวิทยุกระจายเสียง วิทยุโทรทัศน์ และกิจการโทรคมนาคม (ฉบับที่ ๓) พ.ศ. ๒๕๖๒ มาตรา ๒๗ (๔) แห่งพระราชบัญญัติองค์กรจัดสรรคลื่นความถี่และกำกับการประกอบกิจการวิทยุกระจายเสียง วิทยุโทรทัศน์ และกิจการโทรคมนาคม พ.ศ. ๒๕๕๓ ซึ่งแก้ไขเพิ่มเติมโดยพระราชบัญญัติองค์กรจัดสรรคลื่นความถี่และกำกับการประกอบกิจการวิทยุกระจายเสียง วิทยุโทรทัศน์ และกิจการโทรคมนาคม (ฉบับที่ ๒) พ.ศ. ๒๕๖๐ และมาตรา ๒๗ (๕) (๖) และ (๒๔) แห่งพระราชบัญญัติองค์กรจัดสรรคลื่นความถี่และกำกับการประกอบกิจการวิทยุกระจายเสียง วิทยุโทรทัศน์ และกิจการโทรคมนาคม พ.ศ. ๒๕๕๓ คณะกรรมการกิจการกระจายเสียง กิจการโทรทัศน์ และกิจการโทรคมนาคมแห่งชาติ จึงออกประกาศไว้ดังต่อไปนี้
ข้อ ๑ ประกาศนี้ให้ใช้บังคับตั้งแต่วันถัดจากวันประกาศในราชกิจจานุเบกษาเป็นต้นไป
ข้อ ๒ ให้ยกเลิกประกาศคณะกรรมการกิจการกระจายเสียง กิจการโทรทัศน์ และกิจการโทรคมนาคมแห่งชาติ เรื่อง แผนความถี่วิทยุกิจการกระจายเสียงระบบ เอฟ.เอ็ม. ลงวันที่ ๒๘ มีนาคม ๒๕๖๐
ข้อ ๓ บรรดาประกาศ ระเบียบ ข้อบังคับ หรือคำสั่งอื่นใดในส่วนที่ได้กำหนดไว้แล้วในประกาศนี้ หรือซึ่งขัดหรือแย้งกับประกาศนี้ ให้ใช้ประกาศนี้แทน
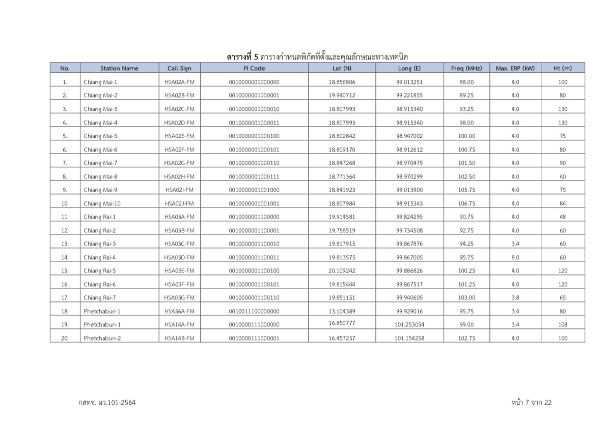
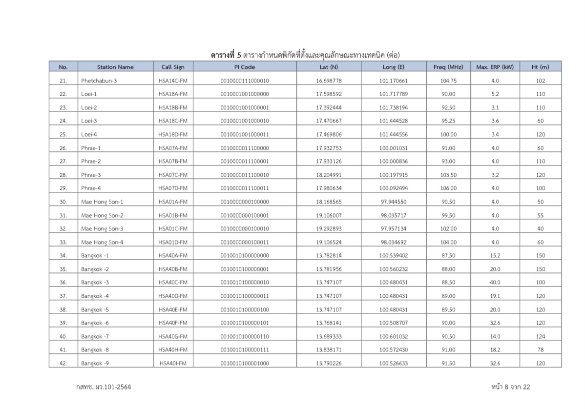
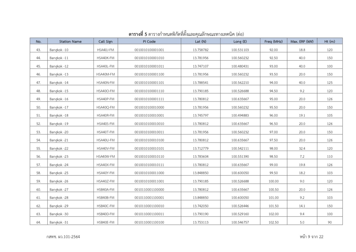
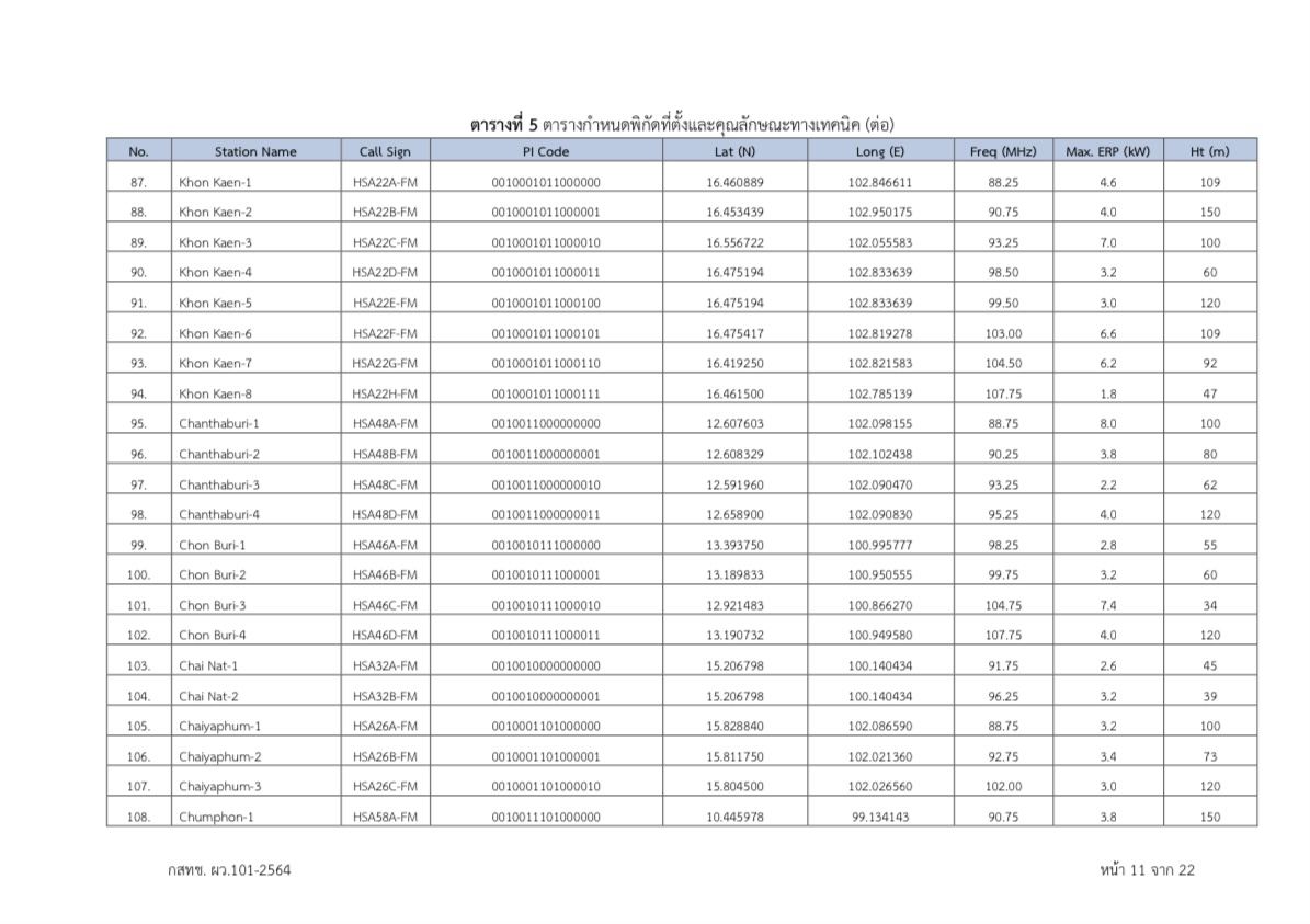
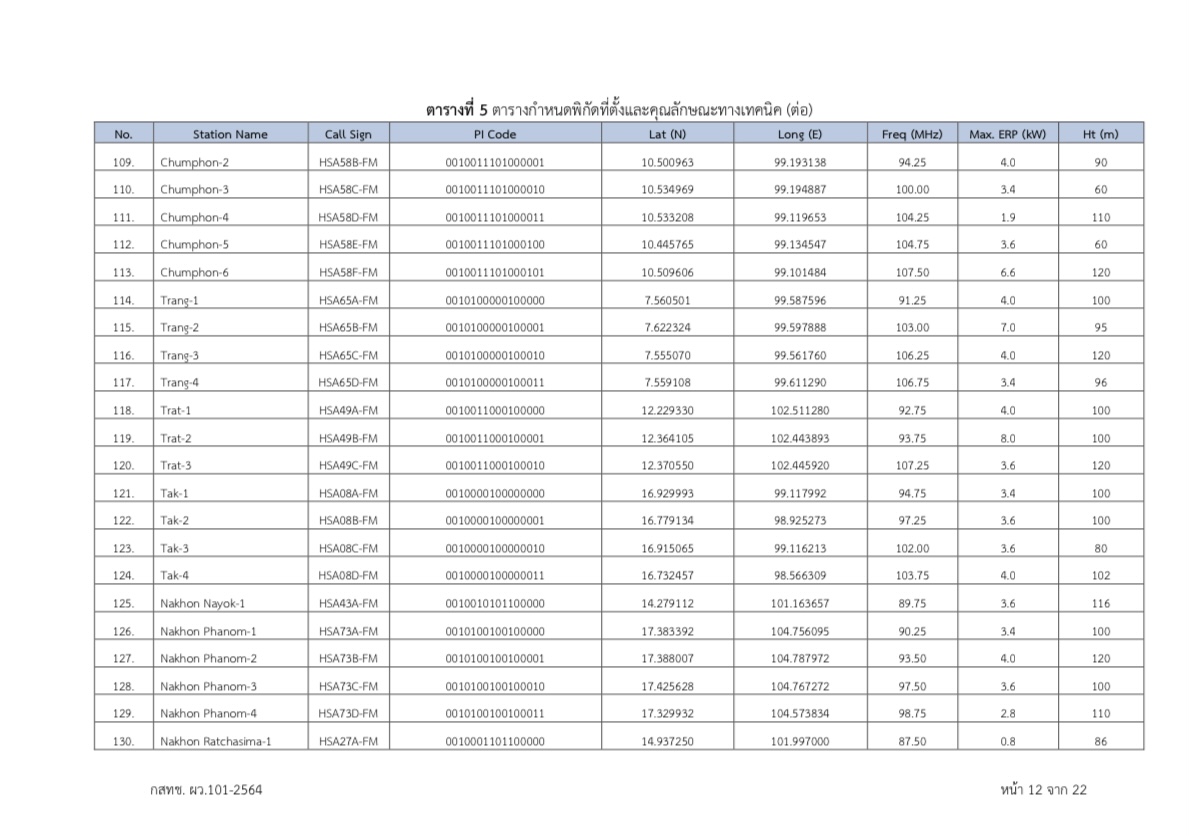
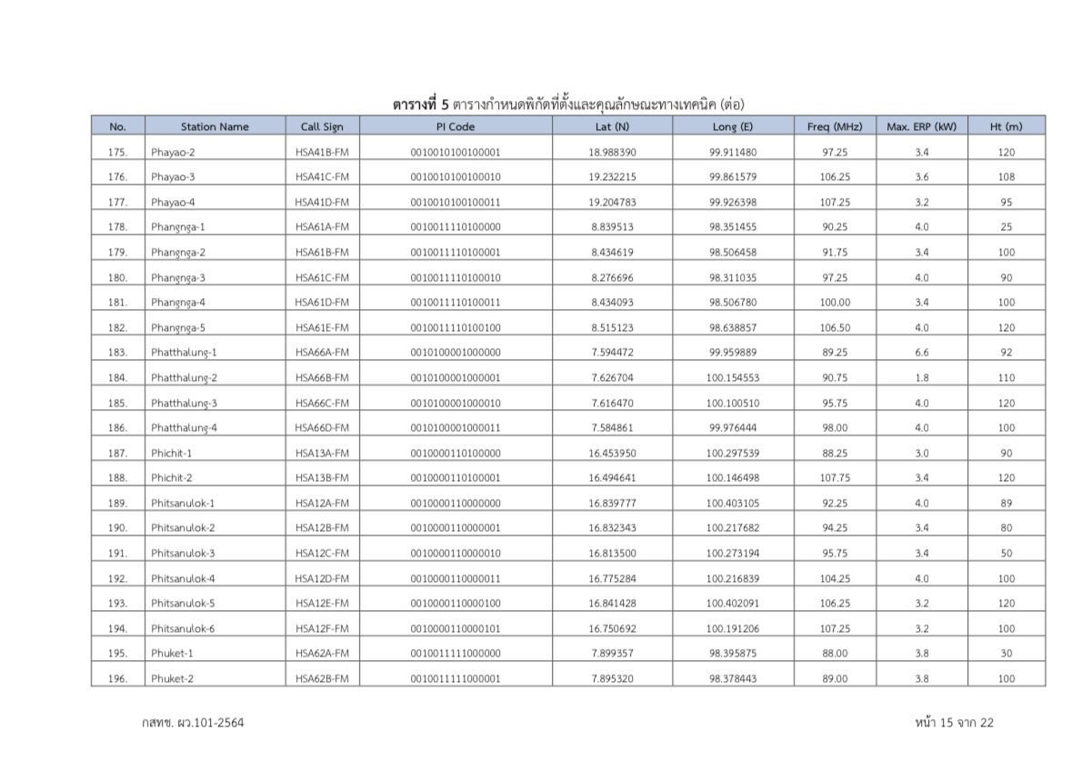
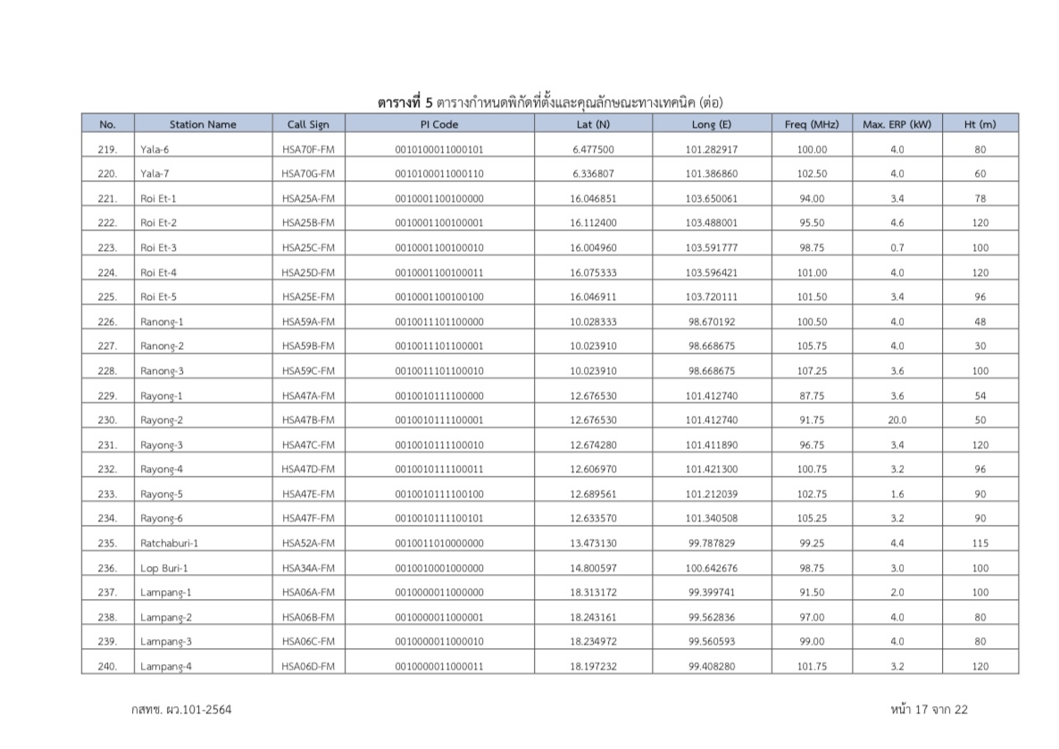
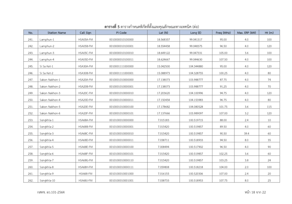
ข้อ ๔ แผนความถี่วิทยุกิจการกระจายเสียงระบบเอฟเอ็ม ให้เป็นไปตามแผนความถี่วิทยุเลขที่ กสทช. ผว. ๑๐๑ - ๒๕๖๔ ท้ายประกาศนี้
ข้อ ๕ ให้ส่วนราชการ รัฐวิสาหกิจ หรือหน่วยงานอื่นของรัฐ หรือผู้ได้รับอนุญาต สัมปทาน หรือสัญญาจากหน่วยงานดังกล่าวที่ประกอบกิจการวิทยุกระจายเสียง อยู่ในวันที่พระราชบัญญัติการประกอบกิจการกระจายเสียงและกิจการโทรทัศน์ พ.ศ. ๒๕๕๑ ใช้บังคับ และได้รับความเห็นชอบให้ถือครองคลื่นความถี่เพื่อประกอบกิจการวิทยุกระจายเสียง ตามพระราชบัญญัติองค์กรจัดสรรคลื่นความถี่และกำกับการประกอบกิจการวิทยุกระจายเสียง วิทยุโทรทัศน์ และกิจการโทรคมนาคม พ.ศ. ๒๕๕๓ ซึ่งมีสถานที่ตั้งสถานีวิทยุกระจายเสียงตามประกาศนี้ ให้สิทธิการใช้งานคลื่นความถี่ดังกล่าวสิ้นสุดในวันที่ ๔ เมษายน ๒๕๖๕
ประกาศ ณ วันที่ ๔ พฤศจิกายน พ.ศ. ๒๕๖๔
พลเอก สุกิจ ขมะสุนทร
กรรมการกิจการกระจายเสียง กิจการโทรทัศน์ และกิจการโทรคมนาคมแห่งชาติ
ทำหน้าที่ประธานกรรมการกิจการกระจายเสียง กิจการโทรทัศน์ และกิจการโทรคมนาคมแห่งชาติ















อ่านฉบับเต็ม : ประกาศคณะกรรมการกิจการกระจายเสียง กิจการโทรทัศน์ และกิจการโทรคมนาคมแห่งชาติ เรื่อง แผนความถี่วิทยุกิจการกระจายเสียงระบบเอฟเอ็ม
4 มี.ค. 2569
27 ก.พ. 2569